






Nhằm giúp học sinh tự ôn luyện, kiểm tra đánh giá kiến thức sau mỗi bài học, mỗi chương phù hợp với chương trình mới; đồng thời giúp quý thầy cô giáo, quý phụ huynh có thêm tài liệu hướng dẫn con em học tập, chúng tôi biên soạn cuốn sách 100 ĐỂ KIỂM TRA TOÁN 8.
Cuốn sách được biên soạn bám sát Chương trình giáo dục phổ thông mới (2018), dùng chung cho các bộ sách giáo khoa mới. Chúng tôi đã cân nhắc lựa chọn các nội dung phù hợp, đa dạng, phong phủ, nhiều bài gắn liền thực tế.
Cuốn sách được thiết kế theo cấu trúc gồm hai phần:
Phần một: Nội dung
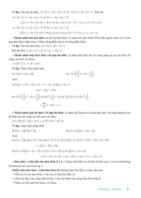
A. Tóm tắt lí thuyết.
B. Đề kiểm tra: Gồm các đề toán ôn tập theo từng nội dung. Trong đó, các đề đầu của từng chương được biên soạn theo tiến trình từng bài học, một số đề cuối của chương có nội dung tổng hợp toàn bộ kiến thức của chương đó nhằm kiểm tra, đánh giá toàn bộ quá trình
học tập của học sinh.
Phần hai: Đáp án
Hướng dẫn giải và đáp số ở phần này giúp học sinh kiểm tra lại phần lời giải của mình; đồng thời thông qua phần hưởng dẫn giải cũng có thể tìm thêm cách giải mới, hưởng tư duy cho các dạng toán tương tự.
Chúng tôi tin tưởng và hi vọng cuốn sách sẽ là nguồn tài liệu tham khảo thiết thực, phủ hợp với các em học sinh, quý thầy cô giáo,...
NXB Đại Học Sư Phạm
Nhà phát hành ndbooks
Tác giả Nhiều tác giả
Số trang 228
Năm Xuất Bản 2024
Ngôn ngữ Tiếng Việt
Khổ 20.5x28.5
#ndbooks #sachnhandan #giaoduc #toan6 #baitaptoán8 #sachthamkhao #ônthi #nangcao #chuongtrinhmoi #sachhay #dapan #tuduy #canhdieu #ketnoi #chantroi
Giá sản phẩm trên Tiki đã bao gồm thuế theo luật hiện hành. Bên cạnh đó, tuỳ vào loại sản phẩm, hình thức và địa chỉ giao hàng mà có thể phát sinh thêm chi phí khác như phí vận chuyển, phụ phí hàng cồng kềnh, thuế nhập khẩu (đối với đơn hàng giao từ nước ngoài có giá trị trên 1 triệu đồng).....
| Công ty phát hành | CÔNG TY TNHH THƯƠNG MẠI SÁCH NHÂN DÂN |
|---|---|
| Nhà xuất bản | Đại Học Sư Phạm TPHCM |
| SKU | 7694572334291 |
destination b1 bảng tuần hoàn hóa học nghị luận xã hội hóa học hình học phẳng chuyên anh sinh học sách giáo khoa lớp 8 bảng tuần hoàn các nguyên tố hoá học sách giáo khoa lớp 7 vật lý phan khắc nghệ atlat địa lý việt nam chinh phục đề thi vào 10 toán 9 toán 7 sách ôn thi vào lớp 10 sổ tay toán học bài tập tiếng anh 8 tiếng anh lớp 8 all in one luyện chuyên sâu ngữ pháp và bài tập tiếng anh vật lý 7 tiếng anh 8 tiếng anh lớp 6 chinh phục đề thi vào 10 môn văn sách chinh phục luyện thi vào lớp 10 tiếng anh 9 đề kiểm tra toán 9 hóa học 8